Magna Concursos
4052516 Ano: 2026
Disciplina: Matemática
Banca: FEPESE
Orgão: Pref. Urubici-SC
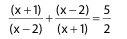
Em um indicador interno (sem unidade), um setor modelou uma relação algébrica que levou à equação, para x > 0 e x ≠ 2:

                                                                                                              Enunciado 4981798-1


O valor de x é:
 

Provas

Questão presente nas seguintes provas

Agente Administrativo

30 Questões

Assistente Social

30 Questões

Auditor de Tributos

30 Questões

Cirurgião-Dentista

30 Questões

Consultor Jurídico

30 Questões

Contador

30 Questões

Controlador Interno

30 Questões

Enfermeiro

30 Questões

Enfermeiro - ESF

30 Questões

Engenheiro Agrônomo

30 Questões

Farmacêutico

30 Questões

Fiscal - Obras e Meio Ambiente

30 Questões

Fisioterapeuta

30 Questões

Orientador Social

30 Questões

Psicólogo

30 Questões