Considere a matriz B definida a seguir:

Define-se B1 =B, B2 = B . B, B3 = B2 . B e, de modo geral, Bn = Bn-1 . B
Seja en = d e t (Bn). O valor da soma e1; + e +e2 +e3+ e4+e5..en + ... é:
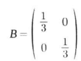
Considere a matriz B definida a seguir:

Define-se B1 =B, B2 = B . B, B3 = B2 . B e, de modo geral, Bn = Bn-1 . B
Seja en = d e t (Bn). O valor da soma e1; + e +e2 +e3+ e4+e5..en + ... é: