Magna Concursos
3731618 Ano: 2025
Disciplina: Engenharia Civil
Banca: VUNESP
Orgão: Pref. Itatiba-SP

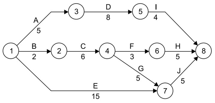
Considere o planejamento de uma reforma parcial na rede de esgoto de um bairro periférico municipal dado pelo cronograma Pert- CPM da figura a seguir:

Enunciado 4492995-1

(Arquivo pessoal; imagem usada com autorização)

Onde:

– As letras representam as atividades; e o tempo, em dias, está indicado abaixo das letras.

A obra tem previsão de início no dia 11 de novembro do presente ano. A data mais tarde que a atividade “A” pode ser iniciada, para que não ocorra nenhum atraso na obra da reforma, é no dia

 

Provas

Questão presente nas seguintes provas

Engenheiro Civil - Hidráulica

50 Questões