Magna Concursos
3964496 Ano: 2026
Disciplina: Raciocínio Lógico
Banca: FUNDATEC
Orgão: Câm. Uruguaiana-RS
Provas:

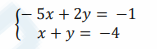
Seja o sistema de equações de 1º grau a seguir, qual é o produto entre o valor de x e y?

Enunciado 4948731-1

 

Provas

Questão presente nas seguintes provas

Auxiliar Administrativo

40 Questões