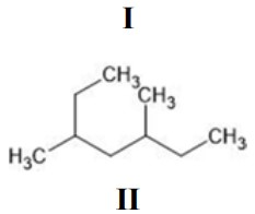
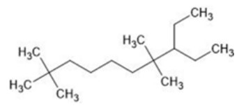
As cadeias carbônicas podem ser representadas na forma condensada, como em I, em que não se destacam os traços que representam as ligações entre os átomos; na forma de traços ou zigue-zague, como em II, que se aproxima mais do modelo real da cadeia carbônica, por considerar os ângulos das ligações entre os átomos; ou na forma estendida, que mostra cada ligação carbono-carbono e carbono-hidrogênio.
(CH3)3CCH2CH2CH2C(CH3)2CH2CH(CH2CH3)CH2CH3

Considerando as informações apresentadas, assinale a opção que mostra a cadeia carbônica na forma de traços correspondente a I.
Provas
Questão presente nas seguintes provas
Técnico de Sistemas de Saneamento - Química
70 Questões