Considere a reta
tangente a
uma circunferência de centro P= (2) e seja R o raio da
circunferência. Sabendo que uma reta tangente a uma
circunferência possui distância igual ao raio entre seu
ponto mais próximo e o centro da circunferência, é
correto afirmar que o raio R é igual a 1, pois a equação
geral da reta permite a aplicação direta da fórmula da
distância ponto-reta:
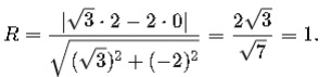
e, ao reescrever a equação da reta em sua forma geral, obtém-se √3x – 2y = 0, de modo que, aplicando o centro P = (2,0) na fórmula, resulta:

e, ao reescrever a equação da reta em sua forma geral, obtém-se √3x – 2y = 0, de modo que, aplicando o centro P = (2,0) na fórmula, resulta:
