
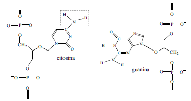
Nos organismos eucariotos, o transporte de informação entre núcleo e citoplasma é um dos mecanismos mais importantes do funcionamento celular, pois a produção de proteínas é realizada no citoplasma, estando a maior parte do material genético situada no núcleo da célula e separada do citoplasma pela carioteca. No material genético, o DNA, as ligações entre as bases que constituem o eixo central da dupla hélice ajustam-se em virtude das ligações de hidrogênio que tais bases podem formar. Com relação ao transporte de informações do núcleo para o citoplasma, ao funcionamento celular como um todo e considerando a figura acima, que ilustra a aproximação das bases citosina e guanina, julgue o item a seguir.
As ligações de hidrogênio envolvem interações eletrostáticas.