Magna Concursos
3796759 Ano: 2025
Disciplina: Matemática
Banca: VUNESP
Orgão: SEDUC-SP
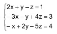
Este sistema linear está parcialmente resolvido com a utilização da regra de Cramer:
Enunciado 4671356-1
Resolução iniciada:
Enunciado 4671356-2
Com relação aos valores das incógnitas, é correto afirmar que
 

Provas

Questão presente nas seguintes provas

Professor da Educação Básica - Matemática

60 Questões