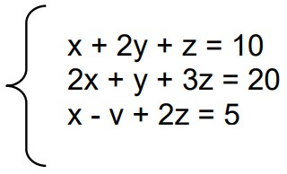
Em um laboratório químico, três substâncias A, B e C são misturadas para formar diferentes soluções experimentais. As quantidades x, y e z (em litros) de cada substância devem satisfazer o seguinte sistema linear:

Sabendo que o determinante da matriz dos coeficientes (D) é utilizado para verificar a existência e unicidade da solução, é correto afirmar que o sistema: