Magna Concursos
4010731 Ano: 2026
Disciplina: Matemática
Banca: Funatec
Orgão: Pref. São José Divino-PI
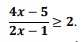
Em um estudo de viabilidade financeira, uma razão algébrica representa a relação entre custos e receita de determinado projeto. Para que o projeto seja considerado viável, essa razão deve satisfazer a inequação:
Enunciado 4499241-1
Assinale corretamente a assertiva que determina o conjunto solução em ℝ da inequação apresentada.
 

Provas

Questão presente nas seguintes provas

Professor do Ensino Fundamental - Matemática

40 Questões