Magna Concursos
3662429 Ano: 2025
Disciplina: Matemática
Banca: FAPEC
Orgão: SANESUL
Provas:

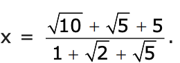
O número real x é tal que Enunciado 4393819-1

Sendo assim, a potência x3 resulta em um número pertencente ao intervalo:

 

Provas

Questão presente nas seguintes provas

Assistente Administrativo

60 Questões