Magna Concursos
3982932 Ano: 2025
Disciplina: Engenharia Elétrica
Banca: AGATA
Orgão: Pref. Juruti-PA
Provas:
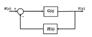
A figura abaixo apresenta um Sistema de Controle simples com realimentação negativa. Sabe-se que a razão entre a Transformada de Laplace do sinal de saída e a Transformada de Laplace do sinal de entrada de um sistema é conhecida como Função de Transferência (FT).

Enunciado 4481299-1

Sabendo disso, marque a alternativa correta que ilustre a FT do sistema para uma situação particular em que o Ganho Direto, G(s), possui valor bastante elevado.
 

Provas

Questão presente nas seguintes provas

Engenheiro Eletricista

30 Questões