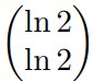
Seja A = [aij] uma matriz 2 × 2 dada por aij = e(i−1)x · δij , onde

Se det A = 2, calcule o valor da matriz x · Y no sistema
A · Y = B, onde B = ![]()
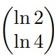
Seja A = [aij] uma matriz 2 × 2 dada por aij = e(i−1)x · δij , onde

Se det A = 2, calcule o valor da matriz x · Y no sistema
A · Y = B, onde B = ![]()