Magna Concursos
3878348 Ano: 2025
Disciplina: Matemática
Banca: MS CONCURSOS
Orgão: Pref. Santana Parnaíba-SP
Provas:

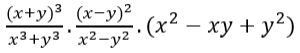
Se x=2025 e y=2024, calcule o valor da expressão:

Enunciado 4770236-1

 

Provas

Questão presente nas seguintes provas

Professor - Matemática

30 Questões