No planejamento e na otimização de sistemas de ventilação e climatização em uma universidade federal,
um Engenheiro Mecânico está encarregado de aprimorar o projeto de um duto retilíneo para minimizar as
perdas de carga distribuídas do escoamento de ar. O objetivo é identificar a intervenção que traria a
redução mais significativa nas perdas de energia.
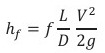
Para essa análise, a equipe utiliza a Equação de Darcy-Weisbach para perdas de carga distribuídas:
Onde:
hf é a perda de carga (em termos de altura de coluna de fluido).
f é o fator de atrito de Darcy, que depende do número de Reynolds e da rugosidade relativa (e/D)
L é o comprimento do duto.
D é o diâmetro hidráulico do duto.
V é a velocidade média do fluido.
g é a aceleração da gravidade.
Considerando que cada intervenção é analisada separadamente, com as demais variáveis fixas, qual ação traria a redução mais significativa em hf (perdas de carga distribuídas)?
Para essa análise, a equipe utiliza a Equação de Darcy-Weisbach para perdas de carga distribuídas:
Onde:
hf é a perda de carga (em termos de altura de coluna de fluido).
f é o fator de atrito de Darcy, que depende do número de Reynolds e da rugosidade relativa (e/D)
L é o comprimento do duto.
D é o diâmetro hidráulico do duto.
V é a velocidade média do fluido.
g é a aceleração da gravidade.
Considerando que cada intervenção é analisada separadamente, com as demais variáveis fixas, qual ação traria a redução mais significativa em hf (perdas de carga distribuídas)?