Magna Concursos
3812280 Ano: 2024
Disciplina: Física
Banca: FURB
Orgão: SED-SC
Provas:
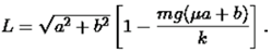
Considere: um bloco de massa m, o qual é mantido encostado em uma parede vertical pela ação elástica de uma mola ideal de constante elástica k sem escorregar devido ao seu peso. Entre a superfície da parede e do bloco, há atrito, que é caracterizado pelo coeficiente de atrito μ para esta interface.

Como mostra a figura a seguir, as distâncias horizontal e vertical do extremo superior de fixação da mola até o centro do bloco são a e b, respectivamente. Dessa maneira, para fixar o bloco e mantê-lo em equilíbrio de forças, qual o comprimento da mola (L) antes de ser esticada? 

Enunciado 4595513-1
 

Provas

Questão presente nas seguintes provas

Professor - Física

38 Questões