Magna Concursos
3873638 Ano: 2024
Disciplina: Engenharia Elétrica
Banca: Avança SP
Orgão: Pref. Valinhos-SP
Provas:
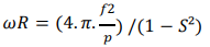
A velocidade angular (ωR) do campo magnético girante está vinculada à frequência (f) do sinal que é imposto ao enrolamento de armadura, ao número de polos (p) desse enrolamento e ao escorregamento (S) do rotor em relação ao campo girante, como mostra a equação:
 

Provas

Questão presente nas seguintes provas

Engenheiro Eletricista

50 Questões