Magna Concursos
3664443 Ano: 2025
Disciplina: Matemática
Banca: EDUCA
Orgão: Pref. Pedras Fogo-PB
Provas:

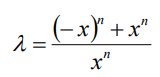
Tome o número λ abaixo, com n e x ∈ N, e 0 < x ≠ 1

Enunciado 4420457-1

Nessas condições, o valor de λ será:

 

Provas

Questão presente nas seguintes provas

Professor - Matemática

40 Questões