Magna Concursos
3833425 Ano: 2025
Disciplina: Engenharia Civil
Banca: UNIFAL
Orgão: UNIFAL
Provas:
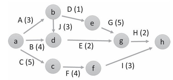
A equipe de engenharia planejou uma obra de reforma dos prédios de laboratórios do câmpus Alfenas, na Sede, sendo necessário definir a duração dessa obra para o planejamento pedagógico. Para isso, o engenheiro responsável elaborou o gráfico PERT-CPM, conforme figura a seguir, no qual as atividades estão representadas por letras maiúsculas, as suas durações em dias estão entre parênteses, e os marcos estão em letras minúsculas.
Enunciado 4821654-1 Figura 1 – Rede PERT-CPM da obra (Fonte: Departamento de Engenharia da UNIFAL-MG).
Conforme a rede PERT-CPM apresentada, as atividades que compõem o caminho crítico são:
 

Provas

Questão presente nas seguintes provas

Engenheiro Civil

50 Questões