Magna Concursos
3842686 Ano: 2025
Disciplina: Matemática
Banca: QUADRIX
Orgão: CRM-ES

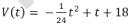
Em uma unidade hospitalar de certa região foi construída uma caixa-d’água para armazenamento de água da chuva. Em uma visita técnica, foi constatado um vazamento por causa de uma rachadura na estrutura dessa caixa-d’água. Com isso, identificou-se que, a cada hora, o volume V de água na caixa-d’água, em metros cúbicos, diminuía de acordo com a função Enunciado 4796560-1   após t horas do início do vazamento e considerando-a inicialmente cheia.

Com base nessa situação hipotética e considerando que a caixa-d’água precisa estar completamente vazia para que seja feito o reparo da rachadura, esse reparo poderá ser feito, após o início do vazamento, depois de

 

Provas

Questão presente nas seguintes provas

Agente Administrativo

50 Questões

Agente Fiscal

50 Questões

Técnico Administrativo

50 Questões

Técnico de TI

50 Questões