3792675
Ano: 2024
Disciplina: Matemática
Banca: Funatec
Orgão: Pref. Santo Amaro Maranhão-MA
Disciplina: Matemática
Banca: Funatec
Orgão: Pref. Santo Amaro Maranhão-MA
Provas:
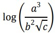
Assinale a assertiva que apresenta de forma correta a seguinte expressão logarítmica desenvolvida.
