Considere a realização do projeto alpha, cujo Quadro de
Atividades, Durações e Precedências encontra-se exposto
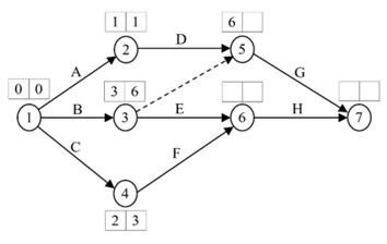
a seguir, bem como o Diagrama PERT/CPM
correspondente, composto por sete nós. A programação
das durações no PERT/CPM está parcialmente preenchida.
Quadro de Atividades – Durações – Precedências do projeto alpha.
Diagrama PERT/CPM referente ao projeto alpha, com a programação parcialmente preenchida.
Nesse contexto e com base nas seguintes afirmativas:
I. O caminho crítico é constituído pelas atividades A, D e G.
II. O tempo total para completar o projeto alpha será de 13 semanas.
III. A atividade G só pode ser iniciada após a conclusão das atividades B e D.
IV. A atividade H tem uma Folga Total de duas semanas.
Está(ão) correta(s)
Quadro de Atividades – Durações – Precedências do projeto alpha.
Diagrama PERT/CPM referente ao projeto alpha, com a programação parcialmente preenchida.
Nesse contexto e com base nas seguintes afirmativas:
I. O caminho crítico é constituído pelas atividades A, D e G.
II. O tempo total para completar o projeto alpha será de 13 semanas.
III. A atividade G só pode ser iniciada após a conclusão das atividades B e D.
IV. A atividade H tem uma Folga Total de duas semanas.
Está(ão) correta(s)