Magna Concursos
3864478 Ano: 2024
Disciplina: Matemática
Banca: Avança SP
Orgão: Pref. Caçapava-SP
Provas:

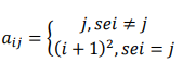
Seja A uma matriz 3x3 cujos elementos são:

Enunciado 4843150-1

O determinante dessa matriz vale:

 

Provas

Questão presente nas seguintes provas

Professor - Matemática

50 Questões