Magna Concursos
3618880 Ano: 2025
Disciplina: Física
Banca: FUNDATEC
Orgão: IFFar
Provas:

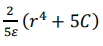
Um cilindro maciço, de raio \( R \), feito de material não condutor e infinitamente longo, apresenta uma distribuição de densidade de carga definida como p=\( \dfrac{^{r2+C}}{r\sqrt{r}} \) onde \( C \) é uma constante. Considere a constante de permissividade do meio como sendo \( \varepsilon \). O campo elétrico na região em que

 

Provas

Questão presente nas seguintes provas

Professor PEBTT - Física

40 Questões