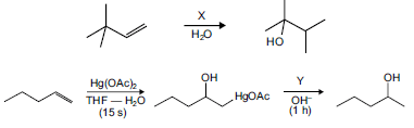
As reações apresentadas a seguir são realizadas para obtenção de álcoois.

As substâncias que X e Y representam, respectivamente, nessas reações são:
As reações apresentadas a seguir são realizadas para obtenção de álcoois.

As substâncias que X e Y representam, respectivamente, nessas reações são: