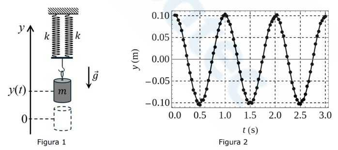
Em um experimento utilizando recursos de vídeo análise, um estudante de Física mediu a evolução temporal da posição vertical de um cilindro de massa \( m \) = 50 g preso a duas molas idênticas, que satisfazem à lei de Hooke, conforme ilustrado na Figura 1 abaixo. O cilindro é colocado para oscilar em torno da sua posição de equilíbrio. A posição vertical do cilindro em função do tempo também é apresentada na Figura 2 abaixo. Desprezando possíveis atritos e a resistência do ar, é correto afirmar que a constante elástica de cada uma das molas é:
