Magna Concursos
4010738 Ano: 2026
Disciplina: Matemática
Banca: Funatec
Orgão: Pref. São José Divino-PI

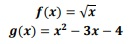
Em um sistema de processamento de dados, duas rotinas matemáticas são modeladas pelas funções:

Enunciado 4499248-1

Para garantir que o software execute corretamente as rotinas encadeadas, é necessário identificar os valores de x para os quais as composições fgg ∘ f estão definidas.

Assinale a alternativa que apresenta corretamente os domínios de f ∘ g e de g ∘ f:

 

Provas

Questão presente nas seguintes provas

Professor do Ensino Fundamental - Matemática

40 Questões