Magna Concursos
3957650 Ano: 2025
Disciplina: Matemática
Banca: URCA
Orgão: Pref. Lavras Mangabeira-CE
Provas:

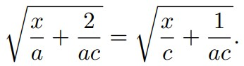
Sejam a e c números reais distintos e não nulo. Determine a solução da equação irracional

Enunciado 4937257-1

 

Provas

Questão presente nas seguintes provas

Professor - Matemática

50 Questões