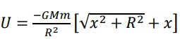
Uma partícula de massa m está situada a uma distância x do centro de um disco maciço de massa M e raio R, sobre seu eixo de simetria, conforme mostrado na figura.

A energia potencial gravitacional armazenada no sistema é:
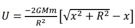
Uma partícula de massa m está situada a uma distância x do centro de um disco maciço de massa M e raio R, sobre seu eixo de simetria, conforme mostrado na figura.

A energia potencial gravitacional armazenada no sistema é: