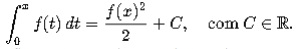
Seja f:R→R uma função contínua e diferenciável
tal que, para todo x ∈ R, verifica-se a equação
funcional:
Afirma-se que todas as soluções dessa equação são dadas exclusivamente por funções da forma:

Afirma-se que todas as soluções dessa equação são dadas exclusivamente por funções da forma: