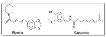
A Piperina (C17H19NO3) e a Capsaicina
(C18H27NO3) são compostos orgânicos
responsáveis pela ardência das pimentas:
pimenta chili e pimenta-do-reino, respectivamente.
Suas fórmulas estruturais estão representas
abaixo:
Fórmulas estruturais desenhadas no programa ChemBioDraw Ultra
Sobre esses compostos orgânicos é correto afirmar que
Fórmulas estruturais desenhadas no programa ChemBioDraw Ultra
Sobre esses compostos orgânicos é correto afirmar que
Provas
Questão presente nas seguintes provas