Magna Concursos
3747252 Ano: 2024
Disciplina: Química
Banca: IME
Orgão: IME

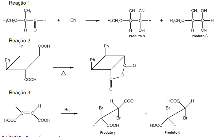
Considere as três propostas de reação a seguir.

Enunciado 4513347-1

A ÚNICA alternativa correta é:

 

Provas

Questão presente nas seguintes provas

Curso de Formação e Graduação (CA)

80 Questões