Magna Concursos
4042481 Ano: 2026
Disciplina: Matemática
Banca: CETAP
Orgão: Pref. Viseu-PA
Provas:

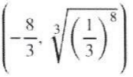
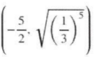
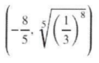
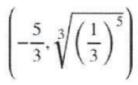
Observe as funções reais definidas por a e b: 

Enunciado 4976537-1 em que x é um número real


As coordenadas do ponto de intersecção | entre as funções a e b é igual a:

 

Provas

Questão presente nas seguintes provas

Professor - Matemática

50 Questões