Magna Concursos
4024792 Ano: 2026
Disciplina: Meteorologia
Banca: FGV
Orgão: AMAZUL
Provas:
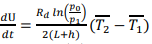
Uma indústria em Salvador – BA, construída a mais de 50 anos e situada a cerca de 20 km da linha de costa, está passando por um processo de modernização para atender as novas exigências tecnológicas e legislações vigentes. Entre as medidas, busca-se avaliar a dispersão dos poluentes na região, de forma a evitar impactos à saúde de uma comunidade de pescadores localizada mais adentro do continente, a aproximadamente 40 km da costa. Para isso, um meteorologista contratado pela indústria foi solicitado a estimar a aceleração do vento associado à brisa marítima. Sem dispor de um histórico de dados in situ, ele adotou um modelo simplificado de circulação da brisa e utilizou dados de satélite para estimar a temperatura média da camada de ar sobreo mar Enunciado 4508209-1 e sobre a terra Enunciado 4508209-2. Além disso, ele determinou, por meio de GPS, a altura da célula de circulação da brisa (h) e a extensão horizontal da brisa (L). 

Enunciado 4508209-3

Considerando o teorema da circulação de Kelvin aplicado a uma circulação absoluta no plano vertical da brisa, dado por Enunciado 4508209-4 Enunciado 4508209-5 é a constante dos gases para o ar seco,  é a temperatura média da camada de ar e d(lnp) representa o diferencial do logaritmo natural da pressão (de p0 na superfície até p1 no nível h), determine a expressão da aceleração do vento associada à brisa marítima, sabendo que Ca:Enunciado 4508209-6 onde U é a velocidade do vento, dl é a variação infinitesimal ao longo do perímetro do circuito fechado, que representa a célula de circulação da brisa (vide figura) e α é o ângulo entre vetores U e dl.
 

Provas

Questão presente nas seguintes provas

Meteorologista

60 Questões