Magna Concursos
3774185 Ano: 2024
Disciplina: Matemática
Banca: IF-MG
Orgão: IF-MG

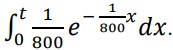
Uma indústria que produz lâmpadas para faróis de automóveis determinou que a vida média das lâmpadas que produz é de 800 horas. Além disso, essa indústria sabe que a probabilidade de uma de suas lâmpadas apresentar problemas, do momento da compra até t horas de uso, é dada pela função Enunciado 4583566-1 Escolhida ao acaso uma dessas lâmpada e adotando-se a aproximação In 0,6873 = −0,3750, determine qual é a probabilidade de a lâmpada escolhida falhar com 300 horas de uso ou menos e marque a alternativa correspondente a tal probabilidade.

 

Provas

Questão presente nas seguintes provas

Professor PEBTT - Matemática

30 Questões