Sejam dadas as matrizes A e B, tais que:

Sabe-se que o determinante da matriz resultante do produto A . B depende do valor de x. Considerando que X1 € X2 são soluções da equação det (A . B) = 0, o valor de x1. x2 é:
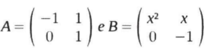
Sejam dadas as matrizes A e B, tais que:

Sabe-se que o determinante da matriz resultante do produto A . B depende do valor de x. Considerando que X1 € X2 são soluções da equação det (A . B) = 0, o valor de x1. x2 é: