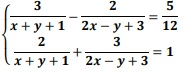
Em um sistema de controle de acesso de um centro de
pesquisa, duas variáveis reais x e y representam
parâmetros ajustáveis relacionados à identificação e à
validação de usuários. Esses parâmetros devem
satisfazer simultaneamente duas condições impostas
pelo software de segurança, expressas pelo seguinte
sistema de equações:
Com base nas informações apresentadas, assinale a alternativa que determine corretamente os valores de x e y que satisfazem esse sistema.
Com base nas informações apresentadas, assinale a alternativa que determine corretamente os valores de x e y que satisfazem esse sistema.
Provas
Questão presente nas seguintes provas
Professor do Ensino Fundamental - Matemática
40 Questões