Magna Concursos
4023890 Ano: 2026
Disciplina: Engenharia Elétrica
Banca: FGV
Orgão: AMAZUL

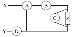
A figura a seguir é um circuito elétrico com medidores e alimentado nas extremidades XY.

Enunciado 4506284-1

Os medidores representados pelas letras A, B, C e D são respectivamente 

 

Provas

Questão presente nas seguintes provas

Operador - Central Termonuclear

60 Questões