Magna Concursos
3945936 Ano: 2025
Disciplina: Matemática
Banca: FUNDATEC
Orgão: Pref. Estância Velha-RS
Provas:

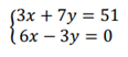
Com base no sistema de equações de 1º grau a seguir, qual é o valor de x + y?

Enunciado 4795376-1

 

Provas

Questão presente nas seguintes provas

Fiscal

40 Questões