- Sistemas de EquilíbrioSistemas Homogêneos: Solubilidade dos Sais, Hidrólise dos Sais e Curvas de Titulação.
Considere a estrutura a seguir:

Ao sofrer reação de hidrólise, essa estrutura irá fornecer, no máximo,
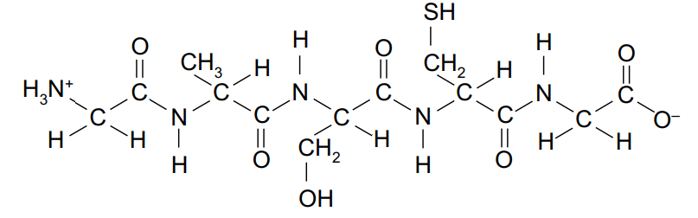
Considere a estrutura a seguir:

Ao sofrer reação de hidrólise, essa estrutura irá fornecer, no máximo,