Magna Concursos
3636827 Ano: 2025
Disciplina: Medicina
Banca: FGV
Orgão: EBSERH
Provas:

ATENÇÃO: responda às cinco próximas questões com base no texto a seguir.

As instruções normativas da ANVISA (IN nº 90, nº 91, nº 92 e nº 93) que dispõem sobre os requisitos sanitários para a garantia da qualidade e da segurança de sistemas de radiografia médica convencional, de fluoroscopia e radiologia intervencionista, de mamografia e de tomografia computadorizada médica estabelecem os testes de aceitação e de controle de qualidade, periodicidade, tolerância e nível de restrição dos mesmos.

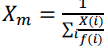
A expressão que permite calcular o limite de concentração de atividade (Xm) para material isento ou o limite de atividade para uma expedição isenta no caso de uma mistura de radionuclídeos cujas identidades e respectivas atividades (A1 e A2) sejam conhecidas é:

[f(i) é a fração da atividade ou concentração do nuclídeo i na mistura; X(i) é o valor apropriado de A1 ou A2 para o radionuclídeo i.]

 

Provas

Questão presente nas seguintes provas

Físico - Física Médica

60 Questões