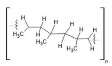
O polipropileno, cuja fórmula estrutural está apresentada a seguir, é formado por um único tipo de monômero de cadeia carbônica insaturada, por isso é classificado como polímero de adição. Sua aplicação é muito diversificada, sendo empregado, por exemplo, na confecção de cordas, de pente de cabelo, de copos, de botões de roupa etc.

Considerando as informações anteriores, assinale a opção que corresponde à estrutura do monômero capaz de formar o polipropileno.
Provas
Questão presente nas seguintes provas
Técnico de Sistemas de Saneamento - Química
70 Questões