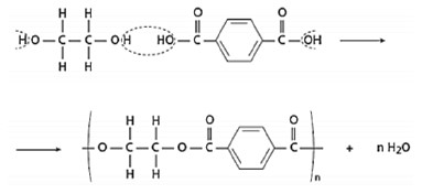
Observe a seguinte reação de polimerização entre o etilenoglicol e o ácido tereftálico:

O nome da reação de polimerização acima, o nome do polímero obtido e a função orgânica presente nele são respectivamente:
Observe a seguinte reação de polimerização entre o etilenoglicol e o ácido tereftálico:

O nome da reação de polimerização acima, o nome do polímero obtido e a função orgânica presente nele são respectivamente: