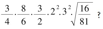
Qual o valor da expressão numérica:

Provas
Questão presente nas seguintes provas
Atendente ao Cliente
40 Questões
Auxiliar Administrativo
40 Questões
Eletricista de Saneamento Básico
40 Questões
Supervisor de Segurança
40 Questões
Técnico de Edificações
40 Questões
Técnico de Química
40 Questões