3957439
Ano: 2025
Disciplina: Raciocínio Lógico
Banca: URCA
Orgão: Pref. Lavras Mangabeira-CE
Disciplina: Raciocínio Lógico
Banca: URCA
Orgão: Pref. Lavras Mangabeira-CE
Provas:
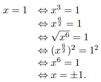
As equações que aparecem na cadeia de equivalências lógicas tem conjunto universo nos reais.

A conclusão aparente é que ![]()
Provas
Questão presente nas seguintes provas
Assistente Social
50 Questões
Biólogo
50 Questões
Engenheiro Agrônomo
50 Questões
Neuropsiquiatra Infantil
50 Questões
Professor - Ciências
50 Questões
Professor - Educação Física
50 Questões
Professor - Matemática
50 Questões
Professor da Educação Infantil
50 Questões
Psicólogo
50 Questões
Terapeuta Ocupacional
50 Questões