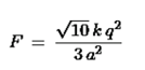
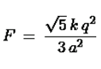
Sejam quatro corpos muito pequenos eletrizados posicionados relativamente entre si, formando um losango de lado
a, como é mostrado na figura a seguir. Ao considerar os corpos carregados como cargas aproximadamente
puntiformes, temos que a interação entre estas será por meio da força eletrostática coulombiana. Todas as cargas
apresentam o mesmo módulo q, mas possuem sinais diferentes, sendo duas delas positivas e as outras duas, negativas. Nessas condições, para o arranjo geométrico mostrado, assinale a alternativa correta que especifica o
módulo da força eletrostática total F que atua na carga posicionada no vértice superior P do losango devido à
atração e repulsão que sofre das demais cargas. Considere na solução do problema que a constante eletrostática é
representada pela letra k:

