Magna Concursos
3747693 Ano: 2025
Disciplina: Química
Banca: VUNESP
Orgão: SEDUC-SP

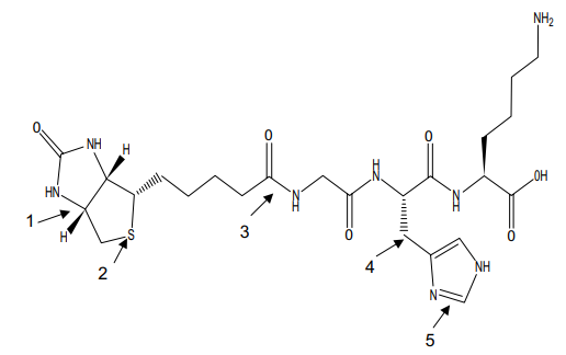
A figura representa a estrutura primária da fração de uma proteína.

Enunciado 3747693-1

A ligação peptídica é indicada pela seta de número

 

Provas

Questão presente nas seguintes provas

Professor da Educação Básica - Química

60 Questões