Magna Concursos
3906402 Ano: 2024
Disciplina: Matemática
Banca: FUVEST
Orgão: USP
Provas:

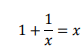
A soma de todas as soluções reais da equação

Enunciado 4740885-1

é igual a:

 

Provas

Questão presente nas seguintes provas

Técnico de Laboratório

60 Questões