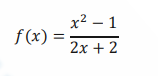
Considerando a função real a seguir, na qual todo x ≠ −1, qual é o valor da função
no ponto x = 5 ?


Provas
Questão presente nas seguintes provas
Agente Administrativo
40 Questões
Cadastrador Imobiliário
40 Questões