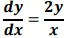
Seja uma equação diferencial ordinária de
primeira ordem e separável dada por:
A solução geral dessa EDO pode ser obtida por separação de variáveis, resultando na equação y= Cx2 onde C é uma constante real arbitrária. Portanto, podemos afirmar que essa EDO possui solução única para qualquer condição inicial, já que é separável e contínua em todo o domínio real.
A solução geral dessa EDO pode ser obtida por separação de variáveis, resultando na equação y= Cx2 onde C é uma constante real arbitrária. Portanto, podemos afirmar que essa EDO possui solução única para qualquer condição inicial, já que é separável e contínua em todo o domínio real.